Математический анализ – страница 4
Полный дифференциал функции
имеет вид …
имеет вид …4 Кейс-задания: Кейс 1 подзадача 1
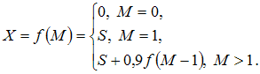
Зависимость объема потребления некоторого товара X (ед.) от дохода потребителя M (у.е.), задаваемого в целых неотрицательных числах, определяется функцией
как

Объем потребления при M = n можно вычислить по формуле …
Зависимость объема потребления некоторого товара X (ед.) от дохода потребителя M (у.е.), задаваемого в целых неотрицательных числах, определяется функцией
как
Объем потребления при M = n можно вычислить по формуле …
5 Кейс-задания: Кейс 1 подзадача 2
Зависимость объема потребления некоторого товара X (ед.) от дохода потребителя M (у.е.), задаваемого в целых неотрицательных числах, определяется функцией
как

Если S = 10, то объем потребления X принадлежит интервалу
при целом значении M, равном …
Зависимость объема потребления некоторого товара X (ед.) от дохода потребителя M (у.е.), задаваемого в целых неотрицательных числах, определяется функцией
как
Если S = 10, то объем потребления X принадлежит интервалу
при целом значении M, равном …6 Кейс-задания: Кейс 1 подзадача 3
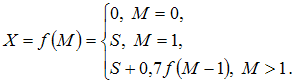
Зависимость объема потребления некоторого товара X (ед.) от дохода потребителя M (у.е.), задаваемого в целых неотрицательных числах, определяется функцией
как

При S = 10 объем потребления не превзойдет величины …
Зависимость объема потребления некоторого товара X (ед.) от дохода потребителя M (у.е.), задаваемого в целых неотрицательных числах, определяется функцией
как
При S = 10 объем потребления не превзойдет величины …
7 Кейс-задания: Кейс 2 подзадача 1
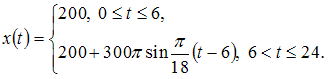
Зависимость мощности x (кВт) потребляемой предприятием электроэнергии от текущего времени суток t (час.) выражается формулой

Объем потребления
электроэнергии при
можно определить как …
Зависимость мощности x (кВт) потребляемой предприятием электроэнергии от текущего времени суток t (час.) выражается формулой

Объем потребления
электроэнергии при
можно определить как …8 Кейс-задания: Кейс 2 подзадача 2
Зависимость мощности x (кВт) потребляемой предприятием электроэнергии от текущего времени суток t (час.) выражается формулой

Установите соответствие между промежутком времени и объемом потребления электроэнергии.
1.
2.
3.
Зависимость мощности x (кВт) потребляемой предприятием электроэнергии от текущего времени суток t (час.) выражается формулой

Установите соответствие между промежутком времени и объемом потребления электроэнергии.
1.

2.

3.

9 Кейс-задания: Кейс 2 подзадача 3
Зависимость мощности x (кВт) потребляемой предприятием электроэнергии от текущего времени суток t (час.) выражается формулой

Среднечасовое потребление электроэнергии в течение суток равно …
Зависимость мощности x (кВт) потребляемой предприятием электроэнергии от текущего времени суток t (час.) выражается формулой

Среднечасовое потребление электроэнергии в течение суток равно …
10 Кейс-задания: Кейс 3 подзадача 1
Дневной объем производства X (ед.) зависит от числа работников L как
Стоимость единицы продукции равна 10 у.е., а дневная заработная плата работника равна 5 у.е.
Если других издержек производств, кроме заработной платы, нет, то функция прибыли
имеет вид …
Дневной объем производства X (ед.) зависит от числа работников L как
Стоимость единицы продукции равна 10 у.е., а дневная заработная плата работника равна 5 у.е.Если других издержек производств, кроме заработной платы, нет, то функция прибыли
имеет вид …11 Кейс-задания: Кейс 3 подзадача 2
Дневной объем производства X (ед.) зависит от числа работников L как
Стоимость единицы продукции равна 10 у.е., а дневная заработная плата работника равна 5 у.е.
Число работников, при котором прибыль будет наибольшей, равно …
Дневной объем производства X (ед.) зависит от числа работников L как
Стоимость единицы продукции равна 10 у.е., а дневная заработная плата работника равна 5 у.е.Число работников, при котором прибыль будет наибольшей, равно …
12 Кейс-задания: Кейс 3 подзадача 3
Дневной объем производства X (ед.) зависит от числа работников L как
Стоимость единицы продукции равна 10 у.е., а дневная заработная плата работника равна 5 у.е.
Прибыль возрастет, если число работников увеличится от
равном _______ до
равном …
Дневной объем производства X (ед.) зависит от числа работников L как
Стоимость единицы продукции равна 10 у.е., а дневная заработная плата работника равна 5 у.е.Прибыль возрастет, если число работников увеличится от
равном _______ до
равном …13 Кейс-задания: Кейс 1 подзадача 2
Зависимость объема потребления некоторого товара X (ед.) от дохода потребителя M (у.е.), задаваемого в целых неотрицательных числах, определяется функцией
как

Если S = 30, то объем потребления X принадлежит интервалу
при целом значении M, равном …
Зависимость объема потребления некоторого товара X (ед.) от дохода потребителя M (у.е.), задаваемого в целых неотрицательных числах, определяется функцией
как
Если S = 30, то объем потребления X принадлежит интервалу
при целом значении M, равном …14 Кейс-задания: Кейс 1 подзадача 3
Зависимость объема потребления некоторого товара X (ед.) от дохода потребителя M (у.е.), задаваемого в целых неотрицательных числах, определяется функцией
как

При S = 21 объем потребления не превзойдет величины …
Зависимость объема потребления некоторого товара X (ед.) от дохода потребителя M (у.е.), задаваемого в целых неотрицательных числах, определяется функцией
как
При S = 21 объем потребления не превзойдет величины …
15 Кейс-задания: Кейс 1 подзадача 1
При доходе потребителя, равном M = 4 у.е., потребление некоторого блага составляет X = 50 ед. Известно, что скорость изменения спроса по доходу равна
Функция спроса по доходу выражается зависимостью …
При доходе потребителя, равном M = 4 у.е., потребление некоторого блага составляет X = 50 ед. Известно, что скорость изменения спроса по доходу равна

Функция спроса по доходу выражается зависимостью …
по направлению
функции двух переменных
имеет вид …