Кейс-задания: Кейс 2 подзадача 1
Зависимость мощности x (кВт) потребляемой предприятием электроэнергии от текущего времени суток t (час.) выражается формулой

Объем потребления
электроэнергии при
можно определить как …
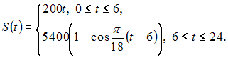
Зависимость мощности x (кВт) потребляемой предприятием электроэнергии от текущего времени суток t (час.) выражается формулой

Объем потребления
электроэнергии при
можно определить как …• 

• 

• 

• 
