Кейс-задания: Кейс 1 подзадача 1
Зависимость объема потребления некоторого товара X (ед.) от дохода потребителя M (у.е.), задаваемого в целых неотрицательных числах, определяется функцией
как

Объем потребления при M = n можно вычислить по формуле …
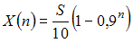
Зависимость объема потребления некоторого товара X (ед.) от дохода потребителя M (у.е.), задаваемого в целых неотрицательных числах, определяется функцией
как
Объем потребления при M = n можно вычислить по формуле …
• 

• 

• 

• 
