Физика – страница 9
На рисунках схематически представлены графики распределения плотности вероятности обнаружения электрона по ширине одномерного потенциального ящика с бесконечно высокими стенками для состояний с различными значениями главного квантового числа n.

Отношение вероятности обнаружить электрон на первом энергетическом уровне в левой половине ящика к вероятности обнаружить электрон на четвертом энергетическом уровне в интервале
–
равно …

Отношение вероятности обнаружить электрон на первом энергетическом уровне в левой половине ящика к вероятности обнаружить электрон на четвертом энергетическом уровне в интервале
–
равно …
Обруч, раскрученный в вертикальной плоскости и посланный по полу рукой гимнастки, через несколько секунд сам возвращается к ней. Начальная скорость центра обруча равна
, коэффициент трения между обручем и полом равен
. Расстояние, на которое откатывается обруч, в
равно …
, коэффициент трения между обручем и полом равен
. Расстояние, на которое откатывается обруч, в
равно …
При выстреле орудия снаряд вылетел из ствола с угловой скоростью
под углом
к горизонту. Момент инерции снаряда относительно его продольной оси
, расстояние между колесами орудия
, время движения снаряда в стволе
. Силы давления (в килоньютонах) земли, действующие на колеса во время выстрела, отличаются на …
под углом
к горизонту. Момент инерции снаряда относительно его продольной оси
, расстояние между колесами орудия
, время движения снаряда в стволе
. Силы давления (в килоньютонах) земли, действующие на колеса во время выстрела, отличаются на …
Тело массы
поднимают по наклонной плоскости. Высота наклонной плоскости
, длина ее основания
, коэффициент трения
. Минимальная работа, которую надо совершить, в джоулях равна …
поднимают по наклонной плоскости. Высота наклонной плоскости
, длина ее основания
, коэффициент трения
. Минимальная работа, которую надо совершить, в джоулях равна …
Установите соответствие между физическими явлениями и теоретическими положениями, объясняющими эти явления.
1. Сумма масс протона и электрона больше массы атома водорода:
.
2. Два одинаковых стержня движутся навстречу друг другу. Для наблюдателя в системе отсчета, в которой стержни движутся навстречу друг другу с одинаковыми скоростями, совпадение правых и левых концов стержней происходит одновременно. Для наблюдателя в системе отсчета стержня АВ, в которой стержень
движется в направлении от А к В, сначала совпадут левые концы стержней ( А и
), а затем правые (В и
). В системе отсчета стержня
, в которой движется стержень АВ в направлении от
к
, сначала совпадут правые концы стержней (В и
), а затем левые ( А и
).
3. Длина движущегося тела сокращается в направлении движения в соответствии с формулой
.
4. Если событие В является следствием события А , то наступление события А предшествует наступлению события В во всех инерциальных системах отсчета:
.
1. Сумма масс протона и электрона больше массы атома водорода:
. 2. Два одинаковых стержня движутся навстречу друг другу. Для наблюдателя в системе отсчета, в которой стержни движутся навстречу друг другу с одинаковыми скоростями, совпадение правых и левых концов стержней происходит одновременно. Для наблюдателя в системе отсчета стержня АВ, в которой стержень
движется в направлении от А к В, сначала совпадут левые концы стержней ( А и
), а затем правые (В и
). В системе отсчета стержня
, в которой движется стержень АВ в направлении от
к
, сначала совпадут правые концы стержней (В и
), а затем левые ( А и
). 3. Длина движущегося тела сокращается в направлении движения в соответствии с формулой
.4. Если событие В является следствием события А , то наступление события А предшествует наступлению события В во всех инерциальных системах отсчета:
.
В случае действия на тело центральной силы радиус-вектор, проведенный к нему из центра, описывает в равные промежутки времени равные площади. (В этом, собственно, и состоит по отношению к движению планет второй закон Кеплера.) Если в начальный момент расстояние от планеты до Солнца
, скорость
, угол между скоростью планеты и радиус-вектором
равен
, то за время
радиус-вектор, проведенный от Солнца к планете, опишет площадь …
, скорость
, угол между скоростью планеты и радиус-вектором
равен
, то за время
радиус-вектор, проведенный от Солнца к планете, опишет площадь …
Кинетическая энергия вращательного движения всех молекул в 2 г водорода при температуре 100 К равна …
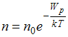
Формула Больцмана
характеризует распределение частиц, находящихся в состоянии хаотического теплового движения, в потенциальном силовом поле, в частности распределение молекул по высоте в изотермической атмосфере. Соотнесите рисунки и соответствующие им утверждения.
характеризует распределение частиц, находящихся в состоянии хаотического теплового движения, в потенциальном силовом поле, в частности распределение молекул по высоте в изотермической атмосфере. Соотнесите рисунки и соответствующие им утверждения.
На рисунке изображен цикл Карно в координатах (T, S), где S – энтропия. Адиабатное расширение происходит на этапе …
Дана система точечных зарядов в вакууме и замкнутые поверхности S1, S2 и S3, причем поверхность S3 охватывает поверхность S2, которая в свою очередь охватывает поверхность S1 (рис.).

Поток напряженности электростатического поля отличен от нуля сквозь ...

Поток напряженности электростатического поля отличен от нуля сквозь ...
Величину вектора магнитной индукции в данной точке магнитного поля можно определить по отношению …
12 На
-диаграмме изображены два циклических процесса.

Отношение работ
, совершенных в этих циклах, равно …
-диаграмме изображены два циклических процесса. 
Отношение работ
, совершенных в этих циклах, равно …
Прямоугольная проводящая рамка расположена в одной плоскости с прямолинейным проводником, по которому течет ток I (рис.). В рамке возникает индукционный ток при …
На графике представлена зависимость плотности тока в проводнике от напряженности электрического поля. Удельное сопротивление проводника в единицах
равно…

равно…