На графике представлена зависимость плотности тока в проводнике от напряженности электрического поля. Удельное сопротивление проводника в единицах
равно…

равно…
• 

•
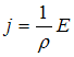
Согласно закону Ома в дифференциальной форме, плотность тока в проводнике равна
, где
– удельное сопротивление материала,
– напряженность электрического поля в проводнике.
•
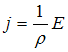
Согласно закону Ома в дифференциальной форме, плотность тока в проводнике равна
, где
– удельное сопротивление материала,
– напряженность электрического поля в проводнике.
•
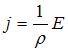
Согласно закону Ома в дифференциальной форме, плотность тока в проводнике равна
, где
– удельное сопротивление материала,
– напряженность электрического поля в проводнике.