Физика – страница 74
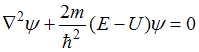
Стационарное уравнение Шредингера в общем случае имеет вид
. Здесь
потенциальная энергия микрочастицы. Трехмерное движение свободной частицы описывает уравнение …
. Здесь
потенциальная энергия микрочастицы. Трехмерное движение свободной частицы описывает уравнение …Взаимодействие
-мезона с протоном в водородной пузырьковой камере идет по схеме


Если спин
-мезона
, то характеристиками
-мезона будут …
-мезона с протоном в водородной пузырьковой камере идет по схеме

Если спин
-мезона
, то характеристиками
-мезона будут …Через блок в форме диска радиусом 10 см и массой 30 г перекинута невесомая нерастяжимая нить, к концам которой подвешены грузы одинаковой массы (машина Атвуда). Если установить платформу на расстоянии 70 см, а к правому грузу добавить перегрузок № 1, то …
блок будет вращаться с угловым ускорением ________ рад/с2.
блок будет вращаться с угловым ускорением ________ рад/с2.
Через блок в форме диска радиусом 10 см и массой 30 г перекинута невесомая нерастяжимая нить, к концам которой подвешены грузы одинаковой массы (машина Атвуда). Если установить платформу на расстоянии 70 см, а к правому грузу добавить перегрузок № 1, то …
система придет в движение, и в конце пути 0,7 м блок будет иметь угловую скорость ________ рад/с.
система придет в движение, и в конце пути 0,7 м блок будет иметь угловую скорость ________ рад/с.
Через блок в форме диска радиусом 10 см и массой 30 г перекинута невесомая нерастяжимая нить, к концам которой подвешены грузы одинаковой массы (машина Атвуда). Если установить платформу на расстоянии 70 см, а к правому грузу добавить перегрузок № 1, то …
момент силы, действующий на блок, будет равен _________ Н·м.
момент силы, действующий на блок, будет равен _________ Н·м.
Зависимость давления от высоты для изотермической атмосферы описывается барометрической формулой
. Для этой зависимости справедливо следующее утверждение: …
. Для этой зависимости справедливо следующее утверждение: …КПД цикла Карно равен 60%. Если на 20% уменьшить температуру нагревателя и на 20% увеличить температуру холодильника, КПД (в %) достигнет значения …
Кривая дисперсии в области одной из полос поглощения имеет вид, показанный на рисунке:

Нормальная дисперсия имеет место в области частот …

Нормальная дисперсия имеет место в области частот …
Стационарное уравнение Шредингера в общем случае имеет вид
. Здесь
потенциальная энергия микрочастицы. Одномерное движение свободной частицы описывает уравнение …
. Здесь
потенциальная энергия микрочастицы. Одномерное движение свободной частицы описывает уравнение …Тяжелый изотоп водорода
может вызвать превращение легкого изотопа лития
в тяжелый изотоп
. Такого рода превращения сопровождают …
может вызвать превращение легкого изотопа лития
в тяжелый изотоп
. Такого рода превращения сопровождают …Через блок в форме диска радиусом 15 см и массой 20 г перекинута невесомая нерастяжимая нить, к концам которой подвешены грузы одинаковой массы (машина Атвуда). Если установить платформу на расстоянии 60 см, а к правому грузу добавить перегрузок № 3, то …
блок будет вращаться с угловым ускорением ________ рад/с2.
блок будет вращаться с угловым ускорением ________ рад/с2.
Через блок в форме диска радиусом 15 см и массой 20 г перекинута невесомая нерастяжимая нить, к концам которой подвешены грузы одинаковой массы (машина Атвуда). Если установить платформу на расстоянии 60 см, а к правому грузу добавить перегрузок № 3, то …
система придет в движение, и в конце пути 0,6 м блок будет иметь угловую скорость ________ рад/с.
система придет в движение, и в конце пути 0,6 м блок будет иметь угловую скорость ________ рад/с.
Через блок в форме диска радиусом 15 см и массой 20 г перекинута невесомая нерастяжимая нить, к концам которой подвешены грузы одинаковой массы (машина Атвуда). Если установить платформу на расстоянии 60 см, а к правому грузу добавить перегрузок № 3, то …
момент силы, действующий на блок, будет равен _________ Н·м.
момент силы, действующий на блок, будет равен _________ Н·м.
В трех одинаковых сосудах находится одинаковое количество газа, причем 

На рисунке представлены графики функций распределения молекул идеального газа по скоростям (распределение Максвелла), где
– доля молекул, скорости которых заключены в интервале скоростей от
до
в расчете на единицу этого интервала.

Для графиков этих функций верным является утверждение, что …


На рисунке представлены графики функций распределения молекул идеального газа по скоростям (распределение Максвелла), где
– доля молекул, скорости которых заключены в интервале скоростей от
до
в расчете на единицу этого интервала.
Для графиков этих функций верным является утверждение, что …
В процессе кристаллизации вещества энтропия неизолированной термодинамической системы …
