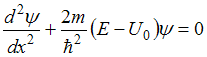
Стационарное уравнение Шредингера в общем случае имеет вид
. Здесь
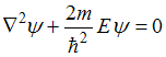
потенциальная энергия микрочастицы. Одномерное движение свободной частицы описывает уравнение …
. Здесь
потенциальная энергия микрочастицы. Одномерное движение свободной частицы описывает уравнение …• 

• 

• 

• 
