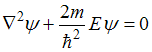
Стационарное уравнение Шредингера в общем случае имеет вид
. Здесь
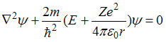
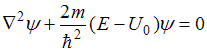
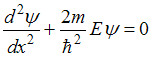
потенциальная энергия микрочастицы. Трехмерное движение свободной частицы описывает уравнение …
. Здесь
потенциальная энергия микрочастицы. Трехмерное движение свободной частицы описывает уравнение …• 

• 

• 

• 
