Эконометрика – страница 11
Для построения эконометрической модели линейного уравнения регрессии используется таблица статистических данных.

При помощи метода наименьших квадратов (МНК) рассчитываются оценки параметров модели вида
. Для выборочного i-го наблюдения модель имеет вид
. При применении метода наименьших квадратов рассчитывается …

При помощи метода наименьших квадратов (МНК) рассчитываются оценки параметров модели вида
. Для выборочного i-го наблюдения модель имеет вид
. При применении метода наименьших квадратов рассчитывается …Из перечисленного условием выполнения предпосылок метода наименьших квадратов не является ____ остатков.
Для регрессионной модели парной регрессии рассчитано значение коэффициента детерминации
(см. рис.). Следовательно, построенным уравнением объяснено ______ дисперсии зависимой переменной.

(см. рис.). Следовательно, построенным уравнением объяснено ______ дисперсии зависимой переменной.
Для регрессионной модели известны следующие величины дисперсий:
;
;
, где
– значение зависимой переменной по исходным данным;
– значение зависимой переменной, вычисленное по регрессионной модели;
– среднее значение зависимой переменной, определенное по исходным статистическим данным. Для указанных дисперсий справедливо равенство …
;
;
, где
– значение зависимой переменной по исходным данным;
– значение зависимой переменной, вычисленное по регрессионной модели;
– среднее значение зависимой переменной, определенное по исходным статистическим данным. Для указанных дисперсий справедливо равенство …Установите соответствие между структурной формой модели и приведенной формой модели
(1)
где C – личное потребление в постоянных ценах,
y – национальный доход в постоянных ценах,
I – инвестиции в постоянных ценах
(2)
где R – процентная ставка,
Y – ВВП,
M – денежная масса,
I – инвестиции
(1)

где C – личное потребление в постоянных ценах,
y – национальный доход в постоянных ценах,
I – инвестиции в постоянных ценах
(2)

где R – процентная ставка,
Y – ВВП,
M – денежная масса,
I – инвестиции
Для оценки параметров точно идентифицируемой структурной формы модели применяют косвенный метод наименьших квадратов (КМНК). Определите последовательность этапов алгоритма КМНК.
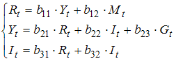
Для системы одновременных уравнений
, где
– процентная ставка,
– реальный ВВП,
– объем денежной массы,
– внутренние инвестиции,
– реальные государственные расходы,
эндогенными являются переменные …
, где
– процентная ставка,
– реальный ВВП,
– объем денежной массы,
– внутренние инвестиции,
– реальные государственные расходы,эндогенными являются переменные …
При линеаризации нелинейных регрессионных моделей как один из видов преобразований используется замена переменных. Указанным способом не может быть линеаризовано уравнение …
Для нелинейного уравнения регрессии рассчитано значение индекса детерминации
. Следовательно, доля объясненной дисперсии в общей дисперсии зависимой переменной для данного уравнения составляет …
. Следовательно, доля объясненной дисперсии в общей дисперсии зависимой переменной для данного уравнения составляет …Для линеаризации нелинейной функции
может быть применен метод …
может быть применен метод …Для стационарных временных рядов y1, у2, … yt, …, yn (t = 1, …, n) автокорреляция зависит только от величины …
При оценке статистической значимости построенной эконометрической модели выдвигают ______ гипотезы.
Если параметр эконометрической модели не является статистически значимым, то соответствующая независимая переменная …
Для оценки параметров эконометрической модели линейного уравнения регрессии вида
используется метод наименьших квадратов (МНК), при этом выдвигаются предпосылки относительно величины …
используется метод наименьших квадратов (МНК), при этом выдвигаются предпосылки относительно величины …