Установите соответствие между структурной формой модели и приведенной формой модели
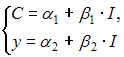
(1)
где C – личное потребление в постоянных ценах,
y – национальный доход в постоянных ценах,
I – инвестиции в постоянных ценах
(2)
где R – процентная ставка,
Y – ВВП,
M – денежная масса,
I – инвестиции
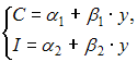
(1)

где C – личное потребление в постоянных ценах,
y – национальный доход в постоянных ценах,
I – инвестиции в постоянных ценах
(2)

где R – процентная ставка,
Y – ВВП,
M – денежная масса,
I – инвестиции
• 
где R – процентная ставка,
Y – ВВП,
M – денежная масса,
I – инвестиции

где R – процентная ставка,
Y – ВВП,
M – денежная масса,
I – инвестиции
• 
где C – личное потребление в постоянных ценах,
y – национальный доход в постоянных ценах,
I – инвестиции в постоянных ценах

где C – личное потребление в постоянных ценах,
y – национальный доход в постоянных ценах,
I – инвестиции в постоянных ценах
• 
где C – личное потребление в постоянных ценах,
y – национальный доход в постоянных ценах,
I – инвестиции в постоянных ценах

где C – личное потребление в постоянных ценах,
y – национальный доход в постоянных ценах,
I – инвестиции в постоянных ценах