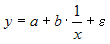
При линеаризации нелинейных регрессионных моделей как один из видов преобразований используется замена переменных. Указанным способом не может быть линеаризовано уравнение …
• 
• 
• 
• 
Тема: Линеаризация нелинейных моделей регрессии
Предмет: Эконометрика