Сопротивление материалов – страница 45
1 
На рисунке показан стержень, работающий на кручение. Заданы величины:
предел текучести при чистом сдвиге
коэффициент запаса по текучести
Из расчета по допускаемым касательным напряжениям максимально допустимое значение момента М равно ____ 

На рисунке показан стержень, работающий на кручение. Заданы величины:
предел текучести при чистом сдвиге
коэффициент запаса по текучести
Из расчета по допускаемым касательным напряжениям максимально допустимое значение момента М равно ____ 
3 
При кручении стержня с кольцевым поперечным сечением эпюра касательных напряжений показана на рисунке …

При кручении стержня с кольцевым поперечным сечением эпюра касательных напряжений показана на рисунке …
4 
Стержень круглого сечения диаметром d нагружен силами
и
При смене направления силы
на противоположное максимальное нормальное напряжение …

Стержень круглого сечения диаметром d нагружен силами
и
При смене направления силы
на противоположное максимальное нормальное напряжение …5 
Стержень длиной l прямоугольного сечения с размерами b и 2b нагружен моментом М. Плоскость действия момента расположена под углом
к оси y. Модуль упругости материала Е, размер b известны. Линейная деформация в точке В, в направлении оси стержня, достигнет значения
, если момент М будет равен …

Стержень длиной l прямоугольного сечения с размерами b и 2b нагружен моментом М. Плоскость действия момента расположена под углом
к оси y. Модуль упругости материала Е, размер b известны. Линейная деформация в точке В, в направлении оси стержня, достигнет значения
, если момент М будет равен …В опасном сечении круглого стержня заданы: изгибающие моменты
крутящий момент
Допускаемое напряжение для материала стержня равно
Минимально допустимое значение диаметра d, по теории наибольших касательных напряжений, равно …
крутящий момент
Допускаемое напряжение для материала стержня равно
Минимально допустимое значение диаметра d, по теории наибольших касательных напряжений, равно …8 
Консоль длиной 2l нагружена двумя моментами. Жесткость поперечного сечения на изгиб
по длине постоянна. Прогиб свободного конца консоли равен
если значение момента М равно …

Консоль длиной 2l нагружена двумя моментами. Жесткость поперечного сечения на изгиб
по длине постоянна. Прогиб свободного конца консоли равен
если значение момента М равно …9 
На схеме показана отсеченная часть балки и нагрузка, действующая на нее. Неверным является утверждение, что изгибающий момент …

На схеме показана отсеченная часть балки и нагрузка, действующая на нее. Неверным является утверждение, что изгибающий момент …
10 
На рисунках показана одна и та же балка, нагруженная силами
и
(рис. 1), силой
(рис. 2), силой
(рис. 3).
– прогибы концевых сечений. Исходя из принципа независимости действия сил можно записать …

На рисунках показана одна и та же балка, нагруженная силами
и
(рис. 1), силой
(рис. 2), силой
(рис. 3).
– прогибы концевых сечений. Исходя из принципа независимости действия сил можно записать …11 
На рисунке показано положение двух точек В и С до приложения к телу внешней нагрузки. После нагружения тела точки перемещаются в новое положение
и
Расстояние S между точками изменяется на величину
Линейная деформация в точке В по направлению отрезка ВС определяется как …

На рисунке показано положение двух точек В и С до приложения к телу внешней нагрузки. После нагружения тела точки перемещаются в новое положение
и
Расстояние S между точками изменяется на величину
Линейная деформация в точке В по направлению отрезка ВС определяется как …12 
Правый конец балки (см. рисунок) должен быть закреплен таким образом, чтобы сечение С не перемещалось вдоль оси y, но могло бы перемещается вдоль оси z и поворачиваться в плоскости zy. Опора, отвечающая таким требованиям, называется …

Правый конец балки (см. рисунок) должен быть закреплен таким образом, чтобы сечение С не перемещалось вдоль оси y, но могло бы перемещается вдоль оси z и поворачиваться в плоскости zy. Опора, отвечающая таким требованиям, называется …
При проверке сжатого стержня к условию прочности
необходимо добавить условие устойчивости
. Допускаемое напряжение на устойчивость
определяют по формуле …
необходимо добавить условие устойчивости
. Допускаемое напряжение на устойчивость
определяют по формуле …Выражение
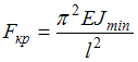
определяет критическую силу сжатого стержня …
определяет критическую силу сжатого стержня …15 
Стержень длиной l прямоугольного сечения с размерами
и
нагружен силами
и
Измеренные линейные деформации в точках В и С по направлению оси стержня оказались одинаковы. Следовательно, отношение
равно …

Стержень длиной l прямоугольного сечения с размерами
и
нагружен силами
и
Измеренные линейные деформации в точках В и С по направлению оси стержня оказались одинаковы. Следовательно, отношение
равно …