
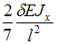
Консоль длиной 2l нагружена двумя моментами. Жесткость поперечного сечения на изгиб
по длине постоянна. Прогиб свободного конца консоли равен
если значение момента М равно …• 

• 

• 

• 


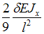
по длине постоянна. Прогиб свободного конца консоли равен
если значение момента М равно …


