Сопротивление материалов – страница 32
2 ![Изображение вопроса Допускаемое напряжение [s] = 160 МПа....](/pic/1229_178612/3134772613CE189C4889D9CB710DF9BA.jpg)
Допускаемое напряжение [s] = 160 МПа. Диаметры круглых поперечных сечений стержней d1 и d2 в мм будут равны …
![Изображение вопроса Допускаемое напряжение [s] = 160 МПа....](/pic/1229_178612/3134772613CE189C4889D9CB710DF9BA.jpg)
Допускаемое напряжение [s] = 160 МПа. Диаметры круглых поперечных сечений стержней d1 и d2 в мм будут равны …
3 
На представленной диаграмме зависимости напряжения от деформации для конструкционной стали точка D соответствует пределу…

На представленной диаграмме зависимости напряжения от деформации для конструкционной стали точка D соответствует пределу…
При перемещении точки приложения сжимающей силы от центра тяжести сечения нормальные напряжения в центре тяжести сечения…
6 

Поперечное сечение балки составлено из двух швеллеров №20 и листов, прикрепленных с помощью сварки. Характеристики швеллера приведены. Размеры на рисунке даны в мм. Осевой момент инерции сечения относительно главной центральной оси x равен…


Поперечное сечение балки составлено из двух швеллеров №20 и листов, прикрепленных с помощью сварки. Характеристики швеллера приведены. Размеры на рисунке даны в мм. Осевой момент инерции сечения относительно главной центральной оси x равен…
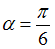
7
Для представленного на рисунке криволинейного стержня приведены выражения углов поворота сечений В, С, D, Е соответственно. При их определении учтено только влияние изгибающего момента. Укажите неправильный ответ, если
.
Для представленного на рисунке криволинейного стержня приведены выражения углов поворота сечений В, С, D, Е соответственно. При их определении учтено только влияние изгибающего момента. Укажите неправильный ответ, если
.Выберите неправильное определение понятия степени статической неопределимости.
10 
Стержень круглого сечения диаметром d испытывает деформации чистый изгиб и кручение. Напряженное состояние в точке В показано на рисунке…

Стержень круглого сечения диаметром d испытывает деформации чистый изгиб и кручение. Напряженное состояние в точке В показано на рисунке…
Площадки в исследуемой точке напряженного тела, на которых касательные напряжения равны нулю, называют …
Число, показывающее, во сколько раз следует одновременно увеличить все компоненты напряженного состояния, чтобы оно стало предельным, называется…
Положение, согласно которому материал полностью заполняет весь объем тела, называется …


равна…