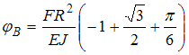
Изображение вопроса Для представленного на рисунке криволинейного стер...
Для представленного на рисунке криволинейного стержня приведены выражения углов поворота сечений В, С, D, Е соответственно. При их определении учтено только влияние изгибающего момента. Укажите неправильный ответ, если Изображение вопроса Для представленного на рисунке криволинейного стер....
• 
• 
• 
• 
Тема: Определение перемещений с помощью интегралов Мора. Правило Верещагина
Предмет: Сопротивление материалов