Механика (Теплотехника) – страница 27
Теплообменным аппаратом называется устройство, предназначенное для _____________ теплоносителя.
2 
Если ε1 = 1, ε2 = 1, Т1 = 1000К, Т2 = 100К, F1 = 1,2 м2, F2 = 10,9 м2, то плотность результирующего теплового потока от первой поверхности на вторую, показанных на рисунке, равна …

Если ε1 = 1, ε2 = 1, Т1 = 1000К, Т2 = 100К, F1 = 1,2 м2, F2 = 10,9 м2, то плотность результирующего теплового потока от первой поверхности на вторую, показанных на рисунке, равна …
4 
При поперечном обтекании жидкостью одиночной трубы, представленной на рисунке, коэффициент теплоотдачи имеет наибольшее значение в точке …

При поперечном обтекании жидкостью одиночной трубы, представленной на рисунке, коэффициент теплоотдачи имеет наибольшее значение в точке …
Аналитическое выражение первого закона термодинамики для обратимых термодинамических процессов имеет вид …
6 
Рабочим телом процесса 1 – 2, показанного на рисунке, являются аргон, окись углерода, двуокись углерода и пары этилового спирта. Показатель адиабаты
соответствует …

Рабочим телом процесса 1 – 2, показанного на рисунке, являются аргон, окись углерода, двуокись углерода и пары этилового спирта. Показатель адиабаты
соответствует …7 
Если количество теплоты в процессе 1 – 2 равно 500 Дж/кг, то энтропия в Дж/(кг·К) в точке 2 процесса, показанного на графике, равна …

Если количество теплоты в процессе 1 – 2 равно 500 Дж/кг, то энтропия в Дж/(кг·К) в точке 2 процесса, показанного на графике, равна …
Для углеродистых сталей коэффициент теплопроводности в Вт/(м·К) примерно равен …
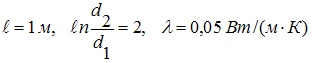
14 Если
, то плотность теплового потока в Вт/м2 равна …
, то плотность теплового потока в Вт/м2 равна …Дифференциальное уравнение для нестационарного двухмерного температурного поля имеет вид …

и
то коэффициент теплопередачи для плоской стенки, представленной на рисунке, имеет вид …
, то термическое сопротивление цилиндрической стенки
равно …