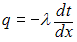
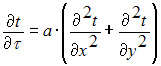
Дифференциальное уравнение для нестационарного двухмерного температурного поля имеет вид …
• 
• 
• 
• 
Тема: Теплопроводность
Предмет: Механика (Теплотехника)