Математика – страница 97
Ориентированный граф
(содержащий петли) задан матрицей смежностей
.
Подграфы графа описываются только множествами вершин, наличие соответствующих дуг и петель подразумевается.
Тогда максимальным сильно связанным подграфом
, содержащим вершину
, графа
является подграф …
(содержащий петли) задан матрицей смежностей
.Подграфы графа описываются только множествами вершин, наличие соответствующих дуг и петель подразумевается.
Тогда максимальным сильно связанным подграфом
, содержащим вершину
, графа
является подграф …Установите соответствие между пропущенными местами в тексте (помечены
,
,
,
) и необходимыми выражениями, и получите доказательство равенства
с помощью характеристических функций множеств.
;
;
;
;
;
, что равносильно
.
,
,
,
) и необходимыми выражениями, и получите доказательство равенства
с помощью характеристических функций множеств.
;
;
;
;
;
, что равносильно
.Пусть для функции
заданы значения:
,
,
. Функция интерполируется квадратичным сплайном
, причём должны выполняться условия:
1) в узлах интерполяции
;
2) производная
непрерывна на отрезке
;
3)
.
Тогда значения сплайна
и его производной
равны соответственно …
заданы значения:
,
,
. Функция интерполируется квадратичным сплайном
, причём должны выполняться условия: 1) в узлах интерполяции
; 2) производная
непрерывна на отрезке
;3)
.Тогда значения сплайна
и его производной
равны соответственно …Интеграл
вычисляется с использованием составной формулы Симпсона, а погрешность вычисления оценивается с использованием производных. Погрешностью округления пренебрегают.
Заданная точность вычислений равна
.
Тогда для выполнения требований задачи величина шага (с тремя знаками после запятой) не должна превышать числа …
вычисляется с использованием составной формулы Симпсона, а погрешность вычисления оценивается с использованием производных. Погрешностью округления пренебрегают.Заданная точность вычислений равна
.Тогда для выполнения требований задачи величина шага (с тремя знаками после запятой) не должна превышать числа …
Множество чисел вида
, где a и b – рациональные числа, образуют поле. Тогда единицей является элемент …
, где a и b – рациональные числа, образуют поле. Тогда единицей является элемент …Дана дробно-рациональная функция
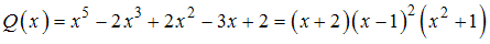
над полем действительных чисел, причём
,

и эти полиномы взаимно просты.
Разложение этой функции на элементарные (простейшие) дроби содержит дробь
.
Тогда коэффициент
равен …
над полем действительных чисел, причём
,
и эти полиномы взаимно просты.
Разложение этой функции на элементарные (простейшие) дроби содержит дробь
.Тогда коэффициент
равен …Особая точка кривой
является …
является …К кривой
в точке с абсциссой
проводится касательная, а в точке с абсциссой
проводится нормаль.
Тогда сумма координат точки пересечения этих двух прямых равна …
в точке с абсциссой
проводится касательная, а в точке с абсциссой
проводится нормаль.Тогда сумма координат точки пересечения этих двух прямых равна …
Радиус кривизны кривой, заданной в полярной системе координат уравнением
, равен …
, равен …Высказывание: «Если студент не занимается, то он не сдаст экзамен», может быть записано логической формулой …
Дан правильный треугольник с центром в точке
(точка пересечения медиан и т.д.). Рассмотрим повороты вокруг точки
, переводящие треугольник в себя, а именно:
– поворот треугольника на угол
в направлении движения часовой стрелки;
– поворот треугольника на угол
в направлении движения часовой стрелки;
– поворот треугольника на угол
в направлении движения часовой стрелки.
На множестве
введём операцию умножения поворотов: поворот
получается так: сначала осуществляем поворот
, а затем
.
Известно, что эта операция ассоциативна.
Тогда построенная алгебраическая структура является …
(точка пересечения медиан и т.д.). Рассмотрим повороты вокруг точки
, переводящие треугольник в себя, а именно:
– поворот треугольника на угол
в направлении движения часовой стрелки;
– поворот треугольника на угол
в направлении движения часовой стрелки;
– поворот треугольника на угол
в направлении движения часовой стрелки.На множестве
введём операцию умножения поворотов: поворот
получается так: сначала осуществляем поворот
, а затем
.Известно, что эта операция ассоциативна.
Тогда построенная алгебраическая структура является …
Пусть
– кольцо всех целых чисел с обычными операциями сложения и умножения.
Тогда левым идеалом этого кольца является множество …
– кольцо всех целых чисел с обычными операциями сложения и умножения.Тогда левым идеалом этого кольца является множество …
Регулярной кривой на заданном множестве не является кривая, представленная соотношениями …
– кольцо классов вычетов по модулю
.
является …