Математика – страница 96
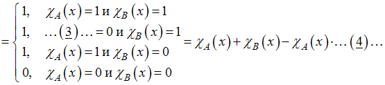
В приведённой цепочке равенств имеются пропущенные места, помеченные
,
,
и
.

.
Установите правильное соответствие отмеченных пропусков и приведённых выражений и получите вывод формулы для характеристической функции объединения двух множеств (
– характеристическая функция множества
,
– хи – буква греческого алфавита).
,
,
и
.
.Установите правильное соответствие отмеченных пропусков и приведённых выражений и получите вывод формулы для характеристической функции объединения двух множеств (
– характеристическая функция множества
,
– хи – буква греческого алфавита).Дано числовое множество
, на котором определены два предиката:
–
и
являются простыми числами;
– число
делится без остатка на число
. Из этих предикатов сформирован новый предикат
.
Тогда часть

таблицы истинности предиката
имеет вид …
, на котором определены два предиката:
–
и
являются простыми числами;
– число
делится без остатка на число
. Из этих предикатов сформирован новый предикат
.Тогда часть

таблицы истинности предиката
имеет вид …Диаграмма переходов конечного автомата имеет вид

На диаграмме перечислены все состояния автомата, а также указано начальное состояние
. Проставлены входные сигналы
,
, и все выходные сигналы
,
.
До момента времени
автомат находился в состоянии
. В последовательные моменты времени
,
,
подаются входные сигналы
,
,
соответственно.
Тогда после момента времени
состоянием и выходным сигналом автомата будут …

На диаграмме перечислены все состояния автомата, а также указано начальное состояние
. Проставлены входные сигналы
,
, и все выходные сигналы
,
.До момента времени
автомат находился в состоянии
. В последовательные моменты времени
,
,
подаются входные сигналы
,
,
соответственно.Тогда после момента времени
состоянием и выходным сигналом автомата будут …Необходимо вычислить значение функции
в точке с координатами
,
. Для вычисления использовались члены ряда Маклорена только до 3-го порядка включительно.
Тогда абсолютная погрешность, допущенная при этом, равна …
в точке с координатами
,
. Для вычисления использовались члены ряда Маклорена только до 3-го порядка включительно.Тогда абсолютная погрешность, допущенная при этом, равна …
На плоскости заданы множество точек
, причём точки заданы своими координатами
,
,
,
, и две прямые
и
своими уравнениями
и
соответственно. Мерой близости множества точек и прямой будем считать сумму квадратов соответствующих расстояний (как в методе наименьших квадратов).
Тогда справедливо утверждение:
, причём точки заданы своими координатами
,
,
,
, и две прямые
и
своими уравнениями
и
соответственно. Мерой близости множества точек и прямой будем считать сумму квадратов соответствующих расстояний (как в методе наименьших квадратов).Тогда справедливо утверждение:
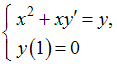
Общий интеграл дифференциального уравнения
имеет вид…
имеет вид…Методом Эйлера решается задача Коши

на отрезке
.
Выбрав начальный шаг
, найдите
с точностью
(ошибки округления не учитывать).
Тогда значение
равно …

на отрезке
.Выбрав начальный шаг
, найдите
с точностью
(ошибки округления не учитывать).Тогда значение
равно …Пусть
– язык;
– алфавит языка, причём
, где
и
– множество всех заглавных букв латинского языка, возможно с индексами;
(греческая буква "гамма") – грамматика языка
, которую можно описать так:
) каждая буква из множества
есть слово языка;
) если
– слово языка
, то
также является словом этого языка;
) если
и
– слова языка
, то
– также слово этого языка;
) любая последовательность символов языка
является словом этого языка тогда и только тогда, когда это следует из пунктов 1) – 3).
Тогда словом языка
не является последовательность символов …
– язык;
– алфавит языка, причём
, где
и
– множество всех заглавных букв латинского языка, возможно с индексами;
(греческая буква "гамма") – грамматика языка
, которую можно описать так:
) каждая буква из множества
есть слово языка;
) если
– слово языка
, то
также является словом этого языка;
) если
и
– слова языка
, то
– также слово этого языка;
) любая последовательность символов языка
является словом этого языка тогда и только тогда, когда это следует из пунктов 1) – 3).Тогда словом языка
не является последовательность символов …
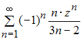
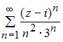
равен…
,
,
,
. Если степенной ряд имеет вид
, то он сходится в точках …
определён предикат
.
истинно тогда и только тогда, когда …
, заданной неявно уравнением
, равно …
по степеням
имеет вид …
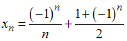
и верхний
пределы последовательности
, где
, соответственно равны …
при условии, что
и
связаны уравнением
, равны …