Математика – страница 90
В первой урне 8 черных и 2 белых шаров. Во второй урне 3 белых и 7 черных шаров. Из наудачу взятой урны вынули один шар. Тогда вероятность того, что этот шар окажется белым, равна …
Функция распределения вероятностей равномерно распределенной случайной величины
изображена на рисунке:

Тогда ее дисперсия равна …
изображена на рисунке:
Тогда ее дисперсия равна …
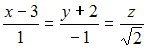
В пространстве
задано скалярное поле
. Через точку
проходит поверхность уровня этого поля.
Тогда единичный вектор нормали к поверхности уровня в точке
в направлении убывания поля равен …
задано скалярное поле
. Через точку
проходит поверхность уровня этого поля.Тогда единичный вектор нормали к поверхности уровня в точке
в направлении убывания поля равен …Необходимо угадать четырехзначный код, который строится из элементов множества
без повторений элементов. Тогда наибольшее число комбинаций, которое, возможно, придется перебрать, равно …
без повторений элементов. Тогда наибольшее число комбинаций, которое, возможно, придется перебрать, равно …Дифференциал функции
имеет вид …
имеет вид …Из урны, в которой находятся 7 черных и 3 белых шаров, вынимают одновременно 2 шара. Тогда вероятность того, что оба шара будут черными, равна …
функции
равна …
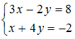
и
являются решением системы линейных уравнений
, то
равно …
и
. Тогда произведение матриц
равно …
. Тогда обратная матрица
равна …
и
, равен …
в ряд по степеням
имеет вид …