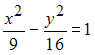
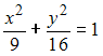
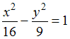
Каноническое уравнение гиперболы, изображённой на рисунке,
Изображение вопроса Каноническое уравнение гиперболы, изображённ...
имеет вид…
• 
• 
• 
• 
Тема: Кривые второго порядка
Предмет: Математика