Математика – страница 9
Дискретная случайная величина
задана законом распределения вероятностей:

Тогда ее функция распределения вероятностей имеет вид …
задана законом распределения вероятностей:
Тогда ее функция распределения вероятностей имеет вид …
Игральная кость бросается один раз. Тогда вероятность того, что на верхней грани выпадет нечетное число очков, равна …
В первой урне 2 белых и 8 черных шаров. Во второй урне 3 черных и 7 белых шаров. Из наудачу взятой урны вытаскивается один шар. Тогда вероятность того, что этот шар черный, равна …
В электрическую цепь параллельно включены два элемента, работающие независимо друг от друга. Вероятности отказов элементов равны соответственно 0,05 и 0,20. Тогда вероятность того, что тока в цепи не будет, равна …
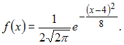
Непрерывная случайная величина
задана плотностью распределения вероятностей
Тогда математическое ожидание a и среднее квадратическое отклонение
этой случайной величины равны …
задана плотностью распределения вероятностей
Тогда математическое ожидание a и среднее квадратическое отклонение
этой случайной величины равны …В электрическую цепь последовательно включены два элемента, работающие независимо друг от друга. Вероятности отказов элементов равны соответственно 0,2 и 0,15. Тогда вероятность того, что ток в цепи будет, равна …
Дискретная случайная величина X задана законом распределения вероятностей:

Тогда ее дисперсия равна …

Тогда ее дисперсия равна …
В первой урне 3 черных и 7 белых шаров. Во второй урне 4 белых и 6 черных шаров. Из наудачу взятой урны вытаскивается один шар. Тогда вероятность того, что этот шар белый, равна …
Вероятность появления события
в каждом из 10 независимых испытаний равна
. Тогда вероятность того, что в этих испытаниях событие
наступит 6 раз можно вычислить как …
в каждом из 10 независимых испытаний равна
. Тогда вероятность того, что в этих испытаниях событие
наступит 6 раз можно вычислить как …Из генеральной совокупности извлечена выборка объема
:

Тогда несмещенная оценка математического ожидания равна …
:
Тогда несмещенная оценка математического ожидания равна …
. Тогда матрица
равна …
и
Если
то след матрицы
равен …
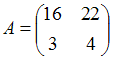
Тогда обратная матрица
имеет вид …
и
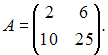
. Тогда матрица
имеет вид …