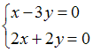
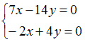
Единственное решение имеет однородная система линейных алгебраических уравнений …
• 
• 
• 
• 
Тема: Системы линейных уравнений
Предмет: Математика