Математика – страница 87
В результате измерений некоторой физической величины одним прибором (без систематических ошибок) получены следующие результаты (в мм): 4,5; 5,5; 6,5. Тогда несмещенная оценка дисперсии равна …
В коридоре расположено 6 различных лампочек. Тогда число способов, которыми можно одновременно включить любые 2 лампочки, равно …
Имеются высказывания, обозначенные буквами
,
и
. Буквы
и
обозначают истинные высказывания (
,
,
есть истина). Буква
обозначает ложное высказывание (
,
есть ложь). Тогда истинным является высказывание …
,
и
. Буквы
и
обозначают истинные высказывания (
,
,
есть истина). Буква
обозначает ложное высказывание (
,
есть ложь). Тогда истинным является высказывание …Производная функции
равна …
равна …Приближённое значение числового выражения
, вычисленное с помощью полного дифференциала 1-го порядка функции двух переменных, равно …
, вычисленное с помощью полного дифференциала 1-го порядка функции двух переменных, равно …Определённый интеграл
равен …
равен …Дана система линейных уравнений
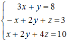
, определитель матрицы которой
. Если ее решение
,
,
найдено по формулам Крамера, где
, то значение выражения
равно ….
, определитель матрицы которой
. Если ее решение
,
,
найдено по формулам Крамера, где
, то значение выражения
равно ….Если выполняется равенство
, то значение х равно …
, то значение х равно …Если радиус сходимости степенного ряда
равен 5, то интервал сходимости имеет вид …
равен 5, то интервал сходимости имеет вид …
имеет вид …
,
и
определяется как …
не имеет обратной, при
, равном …