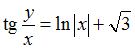
Частный интеграл дифференциального уравнения
Изображение вопроса Частный интеграл дифференциального уравнения 
  
 ...
для начального условия Изображение вопроса Частный интеграл дифференциального уравнения 
  
 ...  имеет вид …
• 
• 
• 
• 
Тема: Однородные дифференциальные уравнения
Предмет: Математика