Математика – страница 86

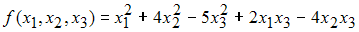
Матрица квадратичной формы Изображение вопроса Матрица квадратичной формы , приведенной к канонич..., приведенной к каноническому виду по методу Лагранжа, может быть записана как...


Градиент скалярного поля Изображение вопроса Градиент скалярного поля  в точке  равен …... в точке Изображение вопроса Градиент скалярного поля  в точке  равен …... равен …

Градиент скалярного поля Изображение вопроса Градиент скалярного поля  равен нулевому вектору в... равен нулевому вектору в точке …

Даны два множества: Изображение вопроса Даны два множества:  и . Тогда количество элементо... и Изображение вопроса Даны два множества:  и . Тогда количество элементо.... Тогда количество элементов, принадлежащих множеству Изображение вопроса Даны два множества:  и . Тогда количество элементо... равно …

Банк выдает 35% всех кредитов юридическим лицам, а 65% – физическим лицам. Вероятность того, что физическое лицо не погасит в срок кредит, равна 0,15; а для физического лица эта вероятность составляет 0,1. Тогда вероятность непогашения в срок очередного кредита равна …



На курсе обучаются 42 студента. Из них 16 занимаются в секции по легкой атлетике, 24 – в футбольной секции, 15 – в шахматной секции, 11 – и в секции по легкой атлетике, и в футбольной, 8 – и в легкой атлетике, и в шахматной, 12 – и в футбольной, и в шахматной, а 6 во всех трех секциях. Остальные студенты увлекаются туризмом. Тогда туристами являются ______ студентов.

Градиент скалярного поля Изображение вопроса Градиент скалярного поля  в точке пересечения оси ... в точке пересечения оси Изображение вопроса Градиент скалярного поля  в точке пересечения оси ... с поверхностью Изображение вопроса Градиент скалярного поля  в точке пересечения оси ... равен …

Дана система из двух уравнений с двумя неизвестными Изображение вопроса Дана система из двух уравнений с двумя неизвестным.... Начальное приближение имеет вид Изображение вопроса Дана система из двух уравнений с двумя неизвестным.... Тогда для нахождения вектора погрешностей Изображение вопроса Дана система из двух уравнений с двумя неизвестным... при решении системы методом Ньютона получим систему…

На отрезке Изображение вопроса На отрезке  задано дифференциальное уравнение . Зн... задано дифференциальное уравнение Изображение вопроса На отрезке  задано дифференциальное уравнение . Зн.... Значение производной в точке Изображение вопроса На отрезке  задано дифференциальное уравнение . Зн... может быть заменено выражением …

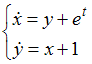
Методом Эйлера с шагом Изображение вопроса Методом Эйлера с шагом  решается задача Коши для с... решается задача Коши для системы дифференциальных уравнений Изображение вопроса Методом Эйлера с шагом  решается задача Коши для с... с начальными условиями Изображение вопроса Методом Эйлера с шагом  решается задача Коши для с..., Изображение вопроса Методом Эйлера с шагом  решается задача Коши для с.... Тогда значения искомых функций Изображение вопроса Методом Эйлера с шагом  решается задача Коши для с... и Изображение вопроса Методом Эйлера с шагом  решается задача Коши для с... равны …

С первого станка на сборку поступает 30%, со второго – 70% всех деталей. Среди деталей первого станка 80% стандартных, второго – 90%. Наудачу взятая деталь оказалась стандартной. Тогда вероятность того, что она поступила на сборку с первого станка, равна …

Из урны, в которой находятся 12 белых и 5 черных шаров, вынимают наудачу один шар. Тогда вероятность того, что этот шар будет белым, равна …