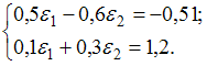
Дана система из двух уравнений с двумя неизвестными
. Начальное приближение имеет вид
. Тогда для нахождения вектора погрешностей
при решении системы методом Ньютона получим систему…
. Начальное приближение имеет вид
. Тогда для нахождения вектора погрешностей
при решении системы методом Ньютона получим систему…• 

• 

• 

• 
