Математика – страница 83

Образом множества Изображение вопроса Образом множества  при отображении  является множе... при отображении Изображение вопроса Образом множества  при отображении  является множе... является множество …

Имеется множество Изображение вопроса Имеется множество , из элементов которого строятся..., из элементов которого строятся пятиместные размещения со следующими ограничениями на частоту повторения элементов:
1) элемент Изображение вопроса Имеется множество , из элементов которого строятся... может входить в размещение не более одного раза;
2) элемент Изображение вопроса Имеется множество , из элементов которого строятся... может входить в размещение один или два раза;
3) элемент Изображение вопроса Имеется множество , из элементов которого строятся... может входить в размещение неограниченное число раз.
Тогда число размещений описанного типа равно …

Дано множество Изображение вопроса Дано множество  и его подмножества ,  и , прич... и его подмножества Изображение вопроса Дано множество  и его подмножества ,  и , прич..., Изображение вопроса Дано множество  и его подмножества ,  и , прич... и Изображение вопроса Дано множество  и его подмножества ,  и , прич..., причём
Изображение вопроса Дано множество  и его подмножества ,  и , прич..., Изображение вопроса Дано множество  и его подмножества ,  и , прич..., Изображение вопроса Дано множество  и его подмножества ,  и , прич....
Пусть Изображение вопроса Дано множество  и его подмножества ,  и , прич... и Изображение вопроса Дано множество  и его подмножества ,  и , прич... – булеан множества Изображение вопроса Дано множество  и его подмножества ,  и , прич..., т.е. множество всех подмножеств множества Изображение вопроса Дано множество  и его подмножества ,  и , прич....
Тогда истинно утверждение:


Векторное произведение Изображение вопроса Векторное произведение  векторов  и  в произвольно... векторов Изображение вопроса Векторное произведение  векторов  и  в произвольно... и Изображение вопроса Векторное произведение  векторов  и  в произвольно... в произвольном базисе пространства Изображение вопроса Векторное произведение  векторов  и  в произвольно... равно…

Разностью множеств Изображение вопроса Разностью множеств  и  может являться множество &#... и Изображение вопроса Разностью множеств  и  может являться множество &#... может являться множество …

Годографом вектор-функции Изображение вопроса Годографом вектор-функции , где  , является …..., где  Изображение вопроса Годографом вектор-функции , где  , является …..., является …


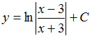
Функция  Изображение вопроса Функция   является общим решением дифференциальног... является общим решением дифференциального уравнения 1-го порядка. Тогда при начальном условии  Изображение вопроса Функция   является общим решением дифференциальног...  частное решение этого уравнения имеет вид…

Дана матрица Изображение вопроса Дана матрица . Тогда обратная матрица  равна ̷.... Тогда обратная матрица Изображение вопроса Дана матрица . Тогда обратная матрица  равна ̷... равна …

Производящая функция для размещений из Изображение вопроса Производящая функция для размещений из -х разных э...-х разных элементов, в которых каждый элемент встречается не менее двух раз, имеет вид …

Образом интервала Изображение вопроса Образом интервала  при отображении  является множе... при отображении Изображение вопроса Образом интервала  при отображении  является множе... является множество …

13 Если Изображение вопроса Если  и  являются действительными решениями уравне... и Изображение вопроса Если  и  являются действительными решениями уравне... являются действительными решениями уравнения Изображение вопроса Если  и  являются действительными решениями уравне...,  то Изображение вопроса Если  и  являются действительными решениями уравне... равно …

Ориентированный псевдограф Изображение вопроса Ориентированный псевдограф , множество вершин кото..., множество вершин которого Изображение вопроса Ориентированный псевдограф , множество вершин кото..., задан описанием по Бержу.
Отображение Изображение вопроса Ориентированный псевдограф , множество вершин кото..., где Изображение вопроса Ориентированный псевдограф , множество вершин кото... – множество всех подмножеств множества Изображение вопроса Ориентированный псевдограф , множество вершин кото..., определено следующим образом: Изображение вопроса Ориентированный псевдограф , множество вершин кото..., Изображение вопроса Ориентированный псевдограф , множество вершин кото..., Изображение вопроса Ориентированный псевдограф , множество вершин кото..., Изображение вопроса Ориентированный псевдограф , множество вершин кото..., Изображение вопроса Ориентированный псевдограф , множество вершин кото..., Изображение вопроса Ориентированный псевдограф , множество вершин кото..., Изображение вопроса Ориентированный псевдограф , множество вершин кото....
Подграфы графа Изображение вопроса Ориентированный псевдограф , множество вершин кото... описываются как подмножества множества Изображение вопроса Ориентированный псевдограф , множество вершин кото..., при этом подразумевается, что в подграф входят все дуги и петли графа Изображение вопроса Ориентированный псевдограф , множество вершин кото..., инцидентные вершинам, перечисленным в подмножестве.
Тогда сильно связанным подграфом графа Изображение вопроса Ориентированный псевдограф , множество вершин кото... не является подграф …

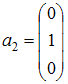
Ранг матрицы Изображение вопроса Ранг матрицы , где , , , равен…..., где Изображение вопроса Ранг матрицы , где , , , равен…..., Изображение вопроса Ранг матрицы , где , , , равен…..., Изображение вопроса Ранг матрицы , где , , , равен…..., равен…