Годографом вектор-функции
, где
, является …
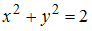
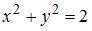
, где
, является …• дуга окружности
между точками
и 
между точками
и 
• окружность
радиуса
с центром в точке
.
радиуса
с центром в точке
.• дуга окружности
, лежащая в первой четверти
, лежащая в первой четверти• верхняя полуокружность
радиуса
с центром в точке
.
радиуса
с центром в точке
.