Математика – страница 68

Даны матрицы  A  размера Изображение вопроса Даны матрицы  A  размера , B  размера  и С  размер..., B  размера Изображение вопроса Даны матрицы  A  размера , B  размера  и С  размер... и С  размера Изображение вопроса Даны матрицы  A  размера , B  размера  и С  размер.... Если выполняется равенство Изображение вопроса Даны матрицы  A  размера , B  размера  и С  размер..., то сумма Изображение вопроса Даны матрицы  A  размера , B  размера  и С  размер... равна …

Определитель Изображение вопроса Определитель  после приведения к треугольному виду... после приведения к треугольному виду можно записать как…



Производная функции Изображение вопроса Производная функции  в точке  в направлении, идуще... в точке Изображение вопроса Производная функции  в точке  в направлении, идуще... в направлении, идущем от этой точки к точке Изображение вопроса Производная функции  в точке  в направлении, идуще..., равна …

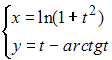
Производная по переменной Изображение вопроса Производная по переменной  функции , заданной пара... функции Изображение вопроса Производная по переменной  функции , заданной пара..., заданной параметрическими уравнениями Изображение вопроса Производная по переменной  функции , заданной пара..., Изображение вопроса Производная по переменной  функции , заданной пара..., равна …




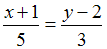
Дано уравнение прямой в виде Изображение вопроса Дано уравнение прямой в виде . Тогда уравнение это.... Тогда уравнение этой прямой в отрезках имеет вид …


Точки Изображение вопроса Точки  и  лежат на одной прямой, параллельной оси ... и Изображение вопроса Точки  и  лежат на одной прямой, параллельной оси ... лежат на одной прямой, параллельной оси абсцисс. Расстояние между точками А и М равно 5. Тогда отрицательные координаты точки М равны …

Дано уравнение эллипса Изображение вопроса Дано уравнение эллипса .  
 Тогда расстояние между....
Тогда расстояние между его фокусами равно …

Решение задачи Коши  Изображение вопроса Решение задачи Коши     имеет вид …...   имеет вид …

Решение задачи Коши  Изображение вопроса Решение задачи Коши    имеет  вид…...  имеет  вид…