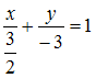
Дано уравнение прямой в виде Изображение вопроса Дано уравнение прямой в виде . Тогда уравнение это.... Тогда уравнение этой прямой в отрезках имеет вид …
• 
• 
• 
• 
Тема: Уравнения прямой линии на плоскости
Предмет: Математика