Математика – страница 62


Матрице Изображение вопроса Матрице  соответствует квадратичная форма …... соответствует квадратичная форма …

Для матрицы Изображение вопроса Для матрицы  не существует обратной, если  x  равн... не существует обратной, если  x  равно …

Определитель Изображение вопроса Определитель  равен нулю, если …... равен нулю, если …


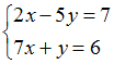
Пусть Изображение вопроса Пусть  и  – решение системы . Тогда  равно &... и Изображение вопроса Пусть  и  – решение системы . Тогда  равно &... – решение системы Изображение вопроса Пусть  и  – решение системы . Тогда  равно &.... Тогда Изображение вопроса Пусть  и  – решение системы . Тогда  равно &... равно …

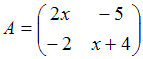
Дана матрица Изображение вопроса Дана матрица . Тогда матрица  равна ….... Тогда матрица Изображение вопроса Дана матрица . Тогда матрица  равна …... равна …

Пусть Изображение вопроса Пусть  – группа всех целых чисел относительн... – группа всех целых чисел относительно операции обычного сложения целых чисел.
Тогда подгруппой этой группы является …

Дано множество всех чисел вида Изображение вопроса Дано множество всех чисел вида , где . Тогда обрат..., где Изображение вопроса Дано множество всех чисел вида , где . Тогда обрат.... Тогда обратным элементом относительно обычной операции умножения для элемента Изображение вопроса Дано множество всех чисел вида , где . Тогда обрат... является …

Дано линейное преобразование векторов на плоскости Изображение вопроса Дано линейное преобразование векторов на плоскости...вида Изображение вопроса Дано линейное преобразование векторов на плоскости.... Тогда матрица Изображение вопроса Дано линейное преобразование векторов на плоскости... этого преобразования имеет вид …

Известно, что алгебраическая система Изображение вопроса Известно, что алгебраическая система  является гру... является группой, причём Изображение вопроса Известно, что алгебраическая система  является гру..., а бинарная операция Изображение вопроса Известно, что алгебраическая система  является гру..., определяется таблицей
Изображение вопроса Известно, что алгебраическая система  является гру....
Единичным элементом группы относительно бинарной операции является элемент Изображение вопроса Известно, что алгебраическая система  является гру....
Тогда множество Изображение вопроса Известно, что алгебраическая система  является гру... относительно операции Изображение вопроса Известно, что алгебраическая система  является гру... …

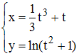
Производная Изображение вопроса Производная  для функции, заданной параметрически ... для функции, заданной параметрически  Изображение вопроса Производная  для функции, заданной параметрически ..., равна …

Уравнение наклонной асимптоты графика функции Изображение вопроса Уравнение наклонной асимптоты графика функции  име... имеет вид Изображение вопроса Уравнение наклонной асимптоты графика функции  име.... Тогда значение k равно …


На множестве Изображение вопроса На множестве  введено бинарное отношение, обозначе... введено бинарное отношение, обозначенное буквой Изображение вопроса На множестве  введено бинарное отношение, обозначе... (если элементы Изображение вопроса На множестве  введено бинарное отношение, обозначе... и элемент Изображение вопроса На множестве  введено бинарное отношение, обозначе... находится в отношении Изображение вопроса На множестве  введено бинарное отношение, обозначе... с элементом Изображение вопроса На множестве  введено бинарное отношение, обозначе..., то записываем Изображение вопроса На множестве  введено бинарное отношение, обозначе...).
Это отношение определяется так: Изображение вопроса На множестве  введено бинарное отношение, обозначе..., если Изображение вопроса На множестве  введено бинарное отношение, обозначе... делится (нацело) на число Изображение вопроса На множестве  введено бинарное отношение, обозначе....
Пусть множество Изображение вопроса На множестве  введено бинарное отношение, обозначе.... Тогда множество Изображение вопроса На множестве  введено бинарное отношение, обозначе... есть множество …