Математика – страница 61
Цилиндрическая винтовая линия
задана натуральным уравнением
, где S – натуральный параметр. Тогда ее кривизна равна …
задана натуральным уравнением
, где S – натуральный параметр. Тогда ее кривизна равна …Свойством линейного пространства
является …
является …Система
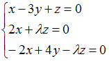
имеет единственное решение, если …
имеет единственное решение, если …Банк выдает 40% всех кредитов юридическим лицам, а 60% – физическим лицам. Вероятность того, что физическое лицо не погасит в срок кредит, равна 0,1; а для физического лица эта вероятность составляет 0,05. Получено сообщение о невозврате кредита. Тогда вероятность того, что этот кредит не погасило физическое лицо, равна …
Решение системы линейных уравнений
имеет вид …
имеет вид …В линейном пространстве
операции сложения и умножения на действительное число не обладают свойством …
операции сложения и умножения на действительное число не обладают свойством …Дана матрица
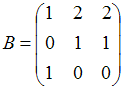
. Тогда обратная ей матрица равна …
. Тогда обратная ей матрица равна …Банк выдает 44% всех кредитов юридическим лицам, а 56% – физическим лицам. Вероятность того, что физическое лицо не погасит в срок кредит, равна 0,2; а для физического лица эта вероятность составляет 0,1. Тогда вероятность того, что очередной кредит будет погашен в срок, равна …
и
, тогда количество пар, удовлетворяющих бинарному отношению
равно …
и
:
,
,
, 
в точке
равна …
,
,
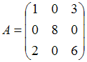
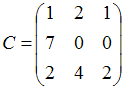
и
. Тогда обратная матрица существует для матрицы …
,
и
. Тогда
, если …
имеет только нулевое решение, если
принимает значения, не равные …