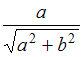
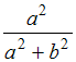
Цилиндрическая винтовая линия
задана натуральным уравнением
, где S – натуральный параметр. Тогда ее кривизна равна …
задана натуральным уравнением
, где S – натуральный параметр. Тогда ее кривизна равна …• 

• 

• 

• 

задана натуральным уравнением
, где S – натуральный параметр. Тогда ее кривизна равна …


