Математика – страница 46
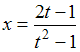
Траектория движущейся точки задается уравнением 
Тогда значение касательного ускорения в момент
равно …

Тогда значение касательного ускорения в момент
равно …Кривая на плоскости задана уравнениями в параметрической форме:
,
.
Тогда количество асимптот кривой равно …
,
.Тогда количество асимптот кривой равно …
Модуль комплексного числа
равен …
равен …Асимптоты графика кривой
, заданной в полярных координатах, имеют вид …
, заданной в полярных координатах, имеют вид …Длина кардиоиды
равна …
равна …Из города
в город
ведут 5 дорог, из
в
– 3 дороги, имеются также 2 дороги из
в
, минуя
. Из
в
можно попасть ____ способом(-ами).
в город
ведут 5 дорог, из
в
– 3 дороги, имеются также 2 дороги из
в
, минуя
. Из
в
можно попасть ____ способом(-ами).В школьном первенстве по настольному теннису в четверку лучших вошли девушки: Наташа, Маша, Люда и Рита. Самые горячие болельщики высказали свои предположения о распределении мест в дальнейших состязаниях.
Один считает, что первой будет Наташа, а Маша будет второй.
Другой болельщик на второе место прочит Люду, а Рита, по его мнению, займет четвертое место.
Третий любитель тенниса с ними не согласился. Он считает, что Рита займет третье место, а Наташа будет второй.
Когда соревнования закончились, оказалось, что каждый из болельщиков был прав только в одном из своих прогнозов.
Какое место на чемпионате заняли Наташа, Маша, Люда и Рита соответственно?
(В ответе перечислите подряд без пробелов числа, соответствующие местам девочек в указанном порядке имен.)
Один считает, что первой будет Наташа, а Маша будет второй.
Другой болельщик на второе место прочит Люду, а Рита, по его мнению, займет четвертое место.
Третий любитель тенниса с ними не согласился. Он считает, что Рита займет третье место, а Наташа будет второй.
Когда соревнования закончились, оказалось, что каждый из болельщиков был прав только в одном из своих прогнозов.
Какое место на чемпионате заняли Наташа, Маша, Люда и Рита соответственно?
(В ответе перечислите подряд без пробелов числа, соответствующие местам девочек в указанном порядке имен.)
Разложение дробно-рациональной функции
на элементарные дроби имеет вид …
на элементарные дроби имеет вид …Линейным отображением пространства трехмерных векторов на пространство двумерных векторов является …
Комплексное число задано в показательной форме
Тогда его тригонометрическая форма записи имеет вид …
Тогда его тригонометрическая форма записи имеет вид …
и проходящей через точку
имеют вид …
и
, то действительная часть производной этой функции
имеет вид …
. Тогда
равно …
, то мнимая часть логарифма
равна …