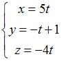
Параметрические уравнения прямой, параллельной оси Изображение вопроса Параметрические уравнения прямой, параллельной оси... и проходящей через точку Изображение вопроса Параметрические уравнения прямой, параллельной оси... имеют вид …
• 
• 
• 
• 
Тема: Прямая линия в пространстве
Предмет: Математика