Математика – страница 37

Дано дифференциальное уравнение Изображение вопроса Дано дифференциальное уравнение . Тогда отрезок со.... Тогда отрезок соответствующего ему поля направлений в точке Изображение вопроса Дано дифференциальное уравнение . Тогда отрезок со... образует с осью Изображение вопроса Дано дифференциальное уравнение . Тогда отрезок со... угол, равный …



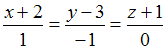
Даны прямая линия Изображение вопроса Даны прямая линия , заданная уравнением , и плоско..., заданная уравнением Изображение вопроса Даны прямая линия , заданная уравнением , и плоско..., и плоскость Изображение вопроса Даны прямая линия , заданная уравнением , и плоско..., заданная уравнением Изображение вопроса Даны прямая линия , заданная уравнением , и плоско.... Тогда прямая Изображение вопроса Даны прямая линия , заданная уравнением , и плоско...



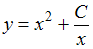
Функция Изображение вопроса Функция  является общим решением линейного неоднор... является общим решением линейного неоднородного дифференциального уравнения первого порядка …



Дано дифференциальное уравнение Изображение вопроса Дано дифференциальное уравнение . Тогда его изокли.... Тогда его изоклины представляют собой …

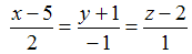
11 Угол Изображение вопроса Угол  между прямой   и плоскостью  равен …... между прямой  Изображение вопроса Угол  между прямой   и плоскостью  равен …... и плоскостью Изображение вопроса Угол  между прямой   и плоскостью  равен …... равен …



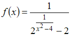
Функция Изображение вопроса Функция  непрерывна на отрезке …... непрерывна на отрезке …

Дано дифференциальное уравнение Изображение вопроса Дано дифференциальное уравнение . Тогда отрезок со.... Тогда отрезок соответствующего ему поля направлений в точке Изображение вопроса Дано дифференциальное уравнение . Тогда отрезок со... образует с осью Изображение вопроса Дано дифференциальное уравнение . Тогда отрезок со... угол Изображение вопроса Дано дифференциальное уравнение . Тогда отрезок со... при Изображение вопроса Дано дифференциальное уравнение . Тогда отрезок со... равном …