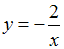
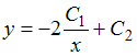
Общее решение дифференциального уравнения Изображение вопроса Общее решение дифференциального уравнения  при  им... при Изображение вопроса Общее решение дифференциального уравнения  при  им... имеет вид …
• ,
• ,
• ,
• 
Тема: Дифференциальные уравнения высших порядков, допускающие понижение порядка
Предмет: Математика