Математика – страница 217
Симплексная таблица для нахождения минимального значения функции
в задаче линейного программирования имеет вид:

Тогда на следующем шаге необходимо перевести в базис переменную …
в задаче линейного программирования имеет вид:

Тогда на следующем шаге необходимо перевести в базис переменную …
Функция спроса по цене
характеризуется эластичным спросом. Тогда значение параметра
может быть равно …
характеризуется эластичным спросом. Тогда значение параметра
может быть равно …Матричная игра задана платежной матрицей
Тогда цена игры будет равна …
Тогда цена игры будет равна …Нейтральным спросом при цене
характеризуется функция спроса вида …
характеризуется функция спроса вида …Симплексная таблица для нахождения максимального значения функции
в задаче линейного программирования имеет вид:

Тогда на следующем шаге необходимо перевести в базис переменную …
в задаче линейного программирования имеет вид:

Тогда на следующем шаге необходимо перевести в базис переменную …
Дано линейное преобразование векторов на плоскости Oxy, которое каждый вектор переводит в сонаправленный вектор, в два раза длиннее исходного. Тогда матрица A этого преобразования имеет вид …
Непрерывная случайная величина X задана плотностью распределения вероятностей:

Тогда значение параметра
равно …

Тогда значение параметра
равно …Непрерывная случайная величина X задана функцией распределения вероятностей:

Тогда вероятность
равна …

Тогда вероятность
равна …Непрерывная случайная величина X задана плотностью распределения вероятностей:

Тогда вероятность
равна …

Тогда вероятность
равна …Непрерывная случайная величина X задана функцией распределения вероятностей:

Тогда ее плотность распределения вероятностей имеет вид …

Тогда ее плотность распределения вероятностей имеет вид …
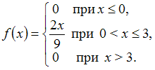
Непрерывная случайная величина X задана плотностью распределения вероятностей:

Тогда ее функция распределения вероятностей имеет вид …

Тогда ее функция распределения вероятностей имеет вид …
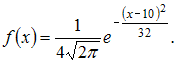
Непрерывная случайная величина X задана плотностью распределения вероятностей:

Тогда значение параметра C равно …

Тогда значение параметра C равно …
Непрерывная случайная величина X задана плотностью распределения вероятностей:
Тогда вероятность того, что в результате испытания X примет значение, заключенное в интервале
можно вычислить как …
Тогда вероятность того, что в результате испытания X примет значение, заключенное в интервале
можно вычислить как …