Математика – страница 215
1 Кейс-задания: Кейс 2 подзадача 2
В городском парке, имеющем форму квадрата со стороной a, установлены две осветительные установки A и B, расположенные в противолежащих вершинах этого квадрата (см. рисунок).

Устройство этих установок таково, что наилучшая освещенность на поверхности парка достигается в точках, отстоящих в два раза дальше от установки A, чем от установки B. Через все такие точки проложили пешеходную дорожку.
В местах пересечения этой дорожки со сторонами квадрата расположены входы в парк. Пусть сторона квадрата равна
м. Тогда расстояние от установки B до ближайшего такого входа равно _____ м.
В городском парке, имеющем форму квадрата со стороной a, установлены две осветительные установки A и B, расположенные в противолежащих вершинах этого квадрата (см. рисунок).

Устройство этих установок таково, что наилучшая освещенность на поверхности парка достигается в точках, отстоящих в два раза дальше от установки A, чем от установки B. Через все такие точки проложили пешеходную дорожку.
В местах пересечения этой дорожки со сторонами квадрата расположены входы в парк. Пусть сторона квадрата равна
м. Тогда расстояние от установки B до ближайшего такого входа равно _____ м.Введем простые высказывания:
– «Солнце светит»
– «Ветер дует»
– «Идет дождь»
Тогда высказыванию «Неверно, что если солнце светит, то ветер дует тогда и только тогда, когда идет дождь» соответствует логическое выражение …
– «Солнце светит»
– «Ветер дует»
– «Идет дождь»Тогда высказыванию «Неверно, что если солнце светит, то ветер дует тогда и только тогда, когда идет дождь» соответствует логическое выражение …
5 Кейс-задания: Кейс 2 подзадача 1
Парк развлечений, имеющий форму квадрата со стороной a, освещают две осветительные установки A и B, расположенные в противолежащих вершинах этого квадрата (см. рисунок).

Устройство этих установок таково, что наилучшая освещенность на поверхности парка достигается в точках, отстоящих в три раза дальше от установки A, чем от установки B. Через все такие точки проложили пешеходную дорожку.
Все точки этой дорожки принадлежат некоторой …
Парк развлечений, имеющий форму квадрата со стороной a, освещают две осветительные установки A и B, расположенные в противолежащих вершинах этого квадрата (см. рисунок).

Устройство этих установок таково, что наилучшая освещенность на поверхности парка достигается в точках, отстоящих в три раза дальше от установки A, чем от установки B. Через все такие точки проложили пешеходную дорожку.
Все точки этой дорожки принадлежат некоторой …
6 Кейс-задания: Кейс 2 подзадача 2
Парк развлечений, имеющий форму квадрата со стороной a, освещают две осветительные установки A и B, расположенные в противолежащих вершинах этого квадрата (см. рисунок).

Устройство этих установок таково, что наилучшая освещенность на поверхности парка достигается в точках, отстоящих в три раза дальше от установки A, чем от установки B. Через все такие точки проложили пешеходную дорожку.
В местах пересечения этой дорожки со сторонами квадрата расположены входы в парк. Пусть сторона квадрата равна
м. Тогда расстояние от установки B до ближайшего такого входа равно _____ м.
Парк развлечений, имеющий форму квадрата со стороной a, освещают две осветительные установки A и B, расположенные в противолежащих вершинах этого квадрата (см. рисунок).

Устройство этих установок таково, что наилучшая освещенность на поверхности парка достигается в точках, отстоящих в три раза дальше от установки A, чем от установки B. Через все такие точки проложили пешеходную дорожку.
В местах пересечения этой дорожки со сторонами квадрата расположены входы в парк. Пусть сторона квадрата равна
м. Тогда расстояние от установки B до ближайшего такого входа равно _____ м.Дано дифференциальное уравнение
Тогда отрезок соответствующего ему поля направлений в точке
образует с осью Ox угол, равный …
Тогда отрезок соответствующего ему поля направлений в точке
образует с осью Ox угол, равный …Дано дифференциальное уравнение
Тогда отрезок соответствующего ему поля направлений в точке
образует
с осью Ox угол
при
равном …
Тогда отрезок соответствующего ему поля направлений в точке
образует с осью Ox угол
при
равном …Синоптик по телевизору объявляет прогноз погоды на завтра и утверждает следующее:
Если не будет ветра, то будет пасмурная погода без дождя.
Если будет дождь, то будет пасмурно и без ветра.
Если будет пасмурная погода, то будет дождь и не будет ветра.
Тогда, завтра…
Если не будет ветра, то будет пасмурная погода без дождя.
Если будет дождь, то будет пасмурно и без ветра.
Если будет пасмурная погода, то будет дождь и не будет ветра.
Тогда, завтра…
Если угловой коэффициент касательной к кривой в любой ее точке равен удвоенной абсциссе точки касания, то уравнение этой кривой будет иметь вид …
Точное значение числа A равно 39,836, а найденное его приближенное значение
Тогда относительная погрешность приближенного значения B равна …
Тогда относительная погрешность приближенного значения B равна …
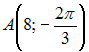
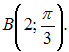
…
и
Тогда полярные координаты середины отрезка AB равны …
»·на множестве
определенная таблицей Кэли как
удовлетворяющее начальному условию
имеет вид …
можно принять за базис трехмерного линейного пространства, если
равно …