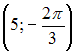
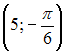
В полярной системе координат даны две точки Изображение вопроса В полярной системе координат даны две точки  и  То... и Изображение вопроса В полярной системе координат даны две точки  и  То... Тогда полярные координаты середины отрезка  AB  равны …
• 
• 
• 
• 
Тема: Полярные координаты на плоскости
Предмет: Математика