Математика – страница 206
Дифференциальное уравнение
заменой
приводится
к уравнению с разделенными переменными, которое имеет вид …
заменой
приводится к уравнению с разделенными переменными, которое имеет вид …
Функция
задана таблично:

В интерполяционном полиноме Лагранжа 2-ой степени с узлами
составленном по этой таблице для приближенного вычисления
при условии
значение
может быть равно …
задана таблично:
В интерполяционном полиноме Лагранжа 2-ой степени с узлами
составленном по этой таблице для приближенного вычисления
при условии
значение
может быть равно …Объем тела, полученного вращением вокруг оси Ox криволинейной трапеции, ограниченной параболой
и осью Ox, равен …
и осью Ox, равен …Из представленных отображений
не является инъективным …
не является инъективным …Из представленных отображений
не является биективным …
не является биективным …Методом Эйлера решается задача Коши
с шагом
Тогда значение искомой функции y в точке x = 0,2 будет равно …
с шагом
Тогда значение искомой функции y в точке x = 0,2 будет равно …Если амплитуда гармонических колебаний равна
и за 2 минуты совершается 240 колебаний, а начальная фаза колебаний равна
рад,
то уравнение гармонических колебаний имеет вид …
и за 2 минуты совершается 240 колебаний, а начальная фаза колебаний равна
рад, то уравнение гармонических колебаний имеет вид …
Решение дифференциального уравнения
на отрезке
с шагом
при начальном условии
в точке x = 0,2 по методу Эйлера может быть найдено как …
на отрезке
с шагом
при начальном условии
в точке x = 0,2 по методу Эйлера может быть найдено как …10 Не является ортогональной системой функций на
система …
система …Матрица
является вырожденной при k, равном …
является вырожденной при k, равном …
удовлетворяющий свойству
называется …
в точке
, равен …
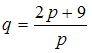
и предложения
, где р – цена товара. Тогда равновесная цена равна …