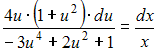
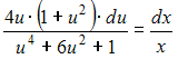
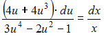
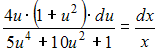
Дифференциальное уравнение Изображение вопроса Дифференциальное уравнение  заменой  приводится  
... заменой Изображение вопроса Дифференциальное уравнение  заменой  приводится  
... приводится
к уравнению с разделенными переменными, которое имеет вид …
• 
• 
• 
• 
Тема: Однородные дифференциальные уравнения
Предмет: Математика