Математика – страница 197
Дана функция
Тогда f (2 + i) равно …
Тогда f (2 + i) равно …Для функции
точка z=1 является …
точка z=1 является …Функция
является решением дифференциального уравнения второго порядка …
является решением дифференциального уравнения второго порядка …Функция
является общим решением дифференциального уравнения второго порядка …
является общим решением дифференциального уравнения второго порядка …Для кольца
множество K, рассматриваемое с одной алгебраической операцией сложения, представляет собой …
множество K, рассматриваемое с одной алгебраической операцией сложения, представляет собой …Бинарной операцией определенной на множестве
является …
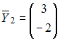
является …Линейный оператор переводит векторы
в векторы
соответственно. Тогда матрица этого оператора имеет вид …
в векторы
соответственно. Тогда матрица этого оператора имеет вид …
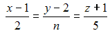
параллельна плоскости
если параметр m равен …
в векторы:
Тогда матрица оператора f в этом базисе имеет вид …
и плоскость
перпендикулярны при значениях n и A, равных …