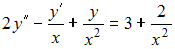
Функция Изображение вопроса Функция  является общим решением дифференциального... является общим решением дифференциального уравнения второго порядка …
• 
• 
• 
• 
Тема: Дифференциальные уравнения высших порядков, допускающие понижение порядка
Предмет: Математика