Математика – страница 189

Гармонические колебания с частотой 0,5 амплитудой колебания Изображение вопроса Гармонические колебания с частотой 0,5 амплитудой ... 
и начальной фазой, равной нулю, описывается уравнением …

Комплексное число задано в алгебраической форме Изображение вопроса Комплексное число задано в алгебраической форме  Т... Тогда тригонометрическая форма записи сопряженного к нему числа Изображение вопроса Комплексное число задано в алгебраической форме  Т... имеет вид …

Точки Изображение вопроса Точки  и  лежат на одной прямой, параллельной оси ... и Изображение вопроса Точки  и  лежат на одной прямой, параллельной оси ... лежат на одной прямой, параллельной оси ординат. Расстояние между точками  A и M  равно 6. Тогда положительные координаты точки M  равны …


Точка Изображение вопроса Точка  симметрична точке  относительно биссектрисы... симметрична точке Изображение вопроса Точка  симметрична точке  относительно биссектрисы... относительно биссектрисы первого координатного угла. Тогда точка M имеет координаты …

Плоскость, проходящая через точки Изображение вопроса Плоскость, проходящая через точки  и  параллельно ... и Изображение вопроса Плоскость, проходящая через точки  и  параллельно ... параллельно оси Oz, задается уравнением …

Даны два множества: Изображение вопроса Даны два множества:  и  Тогда количество целых зна... и Изображение вопроса Даны два множества:  и  Тогда количество целых зна... Тогда количество целых значений Изображение вопроса Даны два множества:  и  Тогда количество целых зна... принадлежащих пересечению множеств A и B, равно …


Значение дифференцируемой функции z = (x, y) в точке Изображение вопроса Значение дифференцируемой функции z = f (x, y) в т... можно приближенно найти как …

Точка совершает гармонические колебания вдоль оси Ox
с амплитудой Изображение вопроса Точка совершает гармонические колебания вдоль оси ... Тогда уравнение этих колебаний может иметь вид …

Комплексное число задано в показательной форме Изображение вопроса Комплексное число задано в показательной форме  То... Тогда алгебраическая форма записи сопряженного к нему числа Изображение вопроса Комплексное число задано в показательной форме  То... имеет вид …

Прямая отсекает на оси Oy  отрезок Изображение вопроса Прямая отсекает на оси Oy  отрезок  и имеет углово... и имеет угловой коэффициент Изображение вопроса Прямая отсекает на оси Oy  отрезок  и имеет углово... Тогда ее уравнение имеет вид …

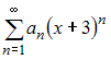
Радиус сходимости степенного ряда Изображение вопроса Радиус сходимости степенного ряда  равен 5.  
 Тог... равен 5.
Тогда интервал сходимости этого ряда имеет вид …

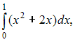
Приближенное значение интеграла Изображение вопроса Приближенное значение интеграла  вычисленное метод... вычисленное методом трапеций  
с шагом h = 0,5, равно …

Если все варианты Изображение вопроса Если все варианты  исходного вариационного ряда ув... исходного вариационного ряда увеличить в четыре раза, то выборочное среднее Изображение вопроса Если все варианты  исходного вариационного ряда ув... …