Комплексное число задано в алгебраической форме
Тогда тригонометрическая форма записи сопряженного к нему числа
имеет вид …
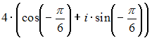
Тогда тригонометрическая форма записи сопряженного к нему числа
имеет вид …• 

• 

• 

• 

Тогда тригонометрическая форма записи сопряженного к нему числа
имеет вид …


