Математика – страница 176
Высказывание «Ученик напишет контрольную работу успешно тогда и только тогда, когда будет готов к ней и будет внимательно выполнять задания» может быть записано логической формулой …
Высказывание: «Если студент не занимается, то он не сдаст экзамен», может быть записано логической формулой …
Граф, матрица смежности которого равна
, имеет вид …
, имеет вид …Дано уравнение прямой в виде
. Тогда уравнение этой прямой «в отрезках» имеет вид …
. Тогда уравнение этой прямой «в отрезках» имеет вид …Пусть
– линейное пространство над полем
.
Тогда аксиомой линейного пространства не является соотношение …
– линейное пространство над полем
.Тогда аксиомой линейного пространства не является соотношение …
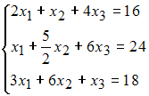
,
,
являются решением системы линейных уравнений
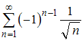
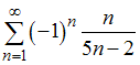
,
равно …
равна 4, то скалярное произведение
равно …
и
не равно нулю, если
и
…
;
.
и
. Тогда вектор
равен …
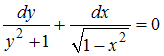
, удовлетворяющий начальному условию
имеет вид …