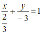
Дано уравнение прямой в виде Изображение вопроса Дано уравнение прямой в виде . Тогда уравнение это.... Тогда уравнение этой прямой «в отрезках» имеет вид …
• 
• 
• 
• 
Тема: Прямая на плоскости
Предмет: Математика