Математика – страница 170
Из урны, в которой находятся 7 черных и 3 белых шаров, вынимают одновременно 2 шара. Тогда вероятность того, что оба шара будут черными, равна …
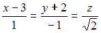
Решение задачи Коши
имеет вид…
имеет вид…Кривая безразличия задана уравнением
, а оптимальный набор благ потребителя имеет вид
,
. Тогда предельная норма замены блага x благом y равна …
, а оптимальный набор благ потребителя имеет вид
,
. Тогда предельная норма замены блага x благом y равна …Рядом Маклорена для функции
является …
является …Дана функция спроса
, где
– цена товара. Если равновесный объем спроса-предложения равен 6,5, то функция предложения может иметь вид …
, где
– цена товара. Если равновесный объем спроса-предложения равен 6,5, то функция предложения может иметь вид …В полярных координатах уравнение прямой, проходящей через полюс под углом
к полярной оси, имеет вид …
к полярной оси, имеет вид …Из урны, в которой находятся 12 белых и 5 черных шаров, вынимают наудачу один шар. Тогда вероятность того, что этот шар будет белым, равна …
Определитель
после приведения к треугольному виду можно записать как …
после приведения к треугольному виду можно записать как …
и
, равен …
, равен …
расходится при наименьшем целом положительном значении параметра
, равном …
и
являются решением системы линейных уравнений
, то
равно …
и
, могут иметь вид …
и
, то сумма
равна …